¿Sabes qué relación tiene la educación con el salario? ¿Tendrá algún efecto la experiencia en esta ecuación? Realizar un análisis de regresión lineal te permite hacer cálculos numéricos que pueden existir entre el salario y todo el conjunto de factores y características que pueden afectarlo, como la experiencia, el rubro donde trabajas o la educación. Este análisis se le puede aplicar a cualquier tipo de variable que sea necesario, también a aquellas que no son numéricas.
Para poder llevar a cabo el análisis necesitas primeramente una cantidad de información suficiente para que la apreciación sea confiable.
¿Con que cantidad sería suficiente? Para el caso que vamos a ejemplificar necesitamos como mínimo 30 personas de quienes tengamos la información necesaria sobre su experiencia, años de educación, Salario y lugar de trabajo; si el número de personas es mayor a 30 es mucho mejor, mientras mayor sea el numero más preciso será el análisis.
Contenido del artículo

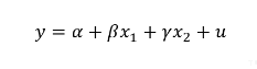
En nuestro ejemplo se expresaría de la siguiente manera:
![]()
Cuando el análisis solo tiene una variable se le conoce como regresión lineal simple. Para demostrarlo en un ejemplo utilizaremos el mismo enfoque con respecto a la relación entre educación y salario.
Lo primero que debemos tener listo es lo más importante, una tabla de datos con información.

Luego seleccionamos toda la tabla de datos nos dirigimos a la pestaña “Insertar” luego vamos a la sección de “Gráficos” y seleccionamos la primera opción que será “Dispersión”.

Luego de esto te aparecerá un gráfico que crea un relación entre los años de educación (Ubicado en el eje X) con el salario (Ubicado en el eje Y)

Apreciando a simple vista podemos notar que la relación es positiva.
Luego haremos clic derecho sobre cualquiera de los puntos presentes en el gráfico y seleccionamos “Agregar línea de tendencia”.

Al hacerlo se nos abrirá un recuadro que tendrá por nombre “Formato de línea de tendencia”.

En estas opciones seleccionaremos “Lineal” y luego activamos la casilla “Presentar ecuación en el gráfico” que se encuentra ubicado al final de la sección.
Al seguir estos pasos podemos apreciar como ahora nuestra gráfica incluye la línea de tendencia y también nos muestra la ecuación de esta línea.

Con este simple ejemplo podemos afirmar que la regresión lineal es una línea que intenta darle ajuste a todos los datos de la mejor manera. Esta ecuación nos dice que por cada año de educación adicional el salario tiene un aumento de $11,04 expresado en la “X” que representa en nuestra gráfica la variable años de estudios, y la “Y” hace representación del salario.
También podemos apreciar que existe un error cuando hablamos de la estimación, ya que no todos los puntos están ubicados sobre la línea. A este tipo de diferencias se le conoce como residuo.
Este ejemplo es una de las maneras rápidas de aplicar un análisis de regresión con una variable independiente, pero solo ayuda en una fracción de información con relevancia para crear la regresión.
La forma más completa de calcular todos los elementos de una regresión es con el paquete de análisis de datos.
Para realizar una regresión lineal más completa en Excel, primero es necesario que instalemos un complemento que te permita realizar esta acción.
Lo primero que debemos hacer es entrar a la barra de herramientas y hacer clic en “Archivo”, luego en “Opciones de Excel”.

Se nos abrirá un recuadro y daremos clic esta vez en “Complementos”. Luego en la sección “Administrar” debes seleccionar “Complementos de Excel” y luego hacer clic en “Ir”.

Se desplegara una nueva ventana, en la que debes verificar la opción “Herramientas de análisis”, después de esto debes hacer clic en “Aceptar”.

Después de aplicar correctamente todos los pasos podrás ver como en la pestaña “Datos” que esta ubicado en la barra de herramientas se ha agregado una sección nueva que tiene por nombre “Análisis”, esta incluye “Análisis de datos”.

Para este ejemplo utilizaremos la tabla de datos que usamos en el ejemplo anterior, pero, en este caso hemos agregado otra serie de datos para hacerla más completa. Esta base de datos no llevara ningún nombre, solo ingresamos un identificador numérico para cada individuo.

Para empezar debemos dirigirnos a la pestaña “Datos” y hacer clic en la nueva herramienta que hemos agregado “Análisis de datos”.
Veras que se desplegara una ventana donde tendrás que llenar la información que te solicitan.

Ahora en “Rango Y de entrada” vas a seleccionar la columna donde se encuentra ubicada la información de la variable dependiente, que en nuestro ejemplo es la columna de “Salario”.

Luego deberás rellenar el “Rango X de entrada”, en este espacio debes seleccionar las columnas que poseen información de variables independientes, en nuestro ejemplo seleccionaremos “Años de estudio” y “Experiencia (Años)”.

Ahora debes seleccionar el restante de las opciones que quieras agregar al estudio para ser reflejados en los resultados. Hemos seleccionado para “Opciones de salida” que nos muestre los resultados “En una hoja nueva” para no hacer tan grande nuestro libro de Excel; Por ultimo damos clic en “Aceptar” y se nos abrirá la nueva hoja con los resultados de la regresión lineal.


Es una medida que indica que tan juntas se están moviendo las variables de la regresión. Ellas van entre -1 y 1. Cuando el valor es cercano a 1, quiere decir que las variables se están moviendo de forma similar, Si el valor en cambio es cercano a -1 es indicativo que las variables se están moviendo en sentido opuesto; si el valor llegase a ser 0 expresa que no hay ningún tipo de relación entre las variables. En nuestro ejemplo el resultado fue de 0,681, esto quiere decir según lo explicado que las variables se están moviendo en el mismo sentido.
Esta es una de las medidas que más tiene uso; indica que tan efectivo se ha ajustado el modelo, para explicarlo más simple, se refiere a que tanto explican en conjunto la experiencia y la educación con respecto al salario. Su valor varía entre 0 y 1; mientras más cercano este del 1, las variables independientes explican de mejor manera la variación que tiene la variable dependiente. En Nuestro ejemplo R^2 es de 0,464 quiere decir que está en la mitad del promedio; quizás no es tan precisa debido a que pueden faltar otras variables que afectan el salario de una persona, como por ejemplo la habilidad, el sexo o la industria.
Como su nombre lo indica, el se ajusta a la cantidad de variables que posee la regresión, si agregamos una mayor cantidad de variables R^2 se acercara más a 1, sin importar que las variables sean totalmente irrelevantes.
Es también conocido como error estándar y explica la cantidad de desvió que tienen las variables de la predicción que ha realizado la regresión.
Se refiere al número de filas que posee la planilla que contiene los datos.
Para aprender a dominar completamente los análisis de datos y la regresión lineal en Excel te recomendamos apuntarte al curso de Excel avanzado donde aprenderás todo lo necesario para dominarlo al 100%.